Outline

Ingegneria Sismica

Ingegneria Sismica

Seismic response of LRB-isolated bridges considering lead core heating and ground motion duration

Author(s): Yan Shi1, Xuexin Wang1, Qianzhan Cheng1, Zhao Cheng1
1School of Civil and Hydraulic Engineering, Lanzhou University of Technology, 730050 Lanzhou, China
Shi, Yan . et al “Seismic response of LRB-isolated bridges considering lead core heating and ground motion duration.” Ingegneria Sismica Volume 42 Issue 4: 70-87, doi:10.65102/is202544.

Abstract

Lead rubber bearings (LRBs) are critical components of isolated bridges, and their performance dictates the seismic safety of the bridge. Cyclic shear deformation during earthquakes induces lead core heating, which subsequently degrades the bearing’s hysteretic energy dissipation, characteristic strength, and stiffness. Since ground motion duration significantly influences the cumulative number of hysteretic cycles, the impact of the heating effect on LRBs warrants further investigation. This study analyzes 22 types of circular LRBs compliant with Chinese standards, utilizing 66 equivalent single-bearing isolated structure models with varying periods for dynamic time-history analysis. The seismic responses under long- and short-duration ground motions were compared. The results indicate that long-duration ground motions significantly exacerbate lead core heating and strength degradation. Furthermore, they induce larger peak shear strains and higher energy dissipation demands compared to short-duration motions, particularly in long-period structures.

Keywords
seismic isolated bridge, lead rubber bearings (LRBs), ground motion duration, lead core heating, seismic response

1 Introduction

Over the past few decades, seismic isolation technologies have been widely implemented in the seismic design and retrofitting of bridges in strong-motion regions. Many such bridges have demonstrated superior seismic resilience during earthquakes, establishing isolation as a primary strategy for enhancing bridge capacity in high-seismicity areas [1]. Among various devices, Lead Rubber Bearings (LRBs) are extensively adopted for both buildings and bridges due to their mechanical simplicity and stable performance [2]. The isolation efficiency and energy dissipation capabilities of LRBs have been validated in major seismic events, including the Te Teko Bridge in the Edgecumbe earthquake, the Eel River Bridge in California, and notable bridges in Iceland [3, 4, 5]. However, under cyclic seismic loading, the lead core within an LRB generates and accumulates substantial heat due to hysteretic energy dissipation. This temperature rise degrades the bearing’s stiffness and strength, altering its mechanical properties [6]. Constantinou et al. conducted extensive studies on lead core heating and performance degradation [7]. They systematically analyzed heat generation mechanisms, heat transfer, degradation of strength under heating, cumulative plastic deformation, model testing, and similitude theory [8]. They concluded that if dynamic analysis is performed with a nominal bilinear mechanical model that ignores heating caused by deformation and the associated performance degradation, the maximum displacement response of LRBs will be underestimated [9].

Subsequent research has further investigated LRB heating effects across various contexts, including building structures [10, 11], bridges [12, 13], nuclear power plants [14, 15], and different site classes [16, 17]. They analyzed structural displacement and acceleration responses under different categories of ground motions and found that heating of the lead core reduces the mechanical properties of LRBs and amplifies structural seismic response [13]. The heating effect of the lead core is crucial for evaluating the seismic performance of isolated structures, so this factor must be fully considered in the seismic design of LRB isolated structures.

As research has advanced, the influence of ground motion characteristics has drawn increasing attention. For example, Dicleli examined the effects of near-fault ground motions on the performance of isolated bridges [18, 19], and Xue et al. explored how ground motion characteristics affect the seismic response of isolated buildings [20]. Among these characteristics, duration effects have a particularly notable impact on structural seismic response. Related studies have focused mainly on conventional structures and components, such as reinforced concrete (RC) frames [21], steel frames [22], integral bridge structures [23], and bridge piers [24, 25]. For isolated bridges, especially LRB isolated bridges that account for lead core heating, research on duration effects remains relatively limited.

For LRB isolated bridge structures, different durations influence the number of hysteretic cycles in the LRB, which leads to cumulative heating of the lead core and consequently affects the strength, stiffness, and energy dissipation capacity of the LRB. Under long-duration excitation in particular, these effects can be significantly amplified; if not considered, the performance of the bearing may be seriously overestimated. Therefore, it is necessary to analyze in depth how duration influences the heating effect of the lead core. To this end, this study selects long-duration and short-duration ground motion records and establishes single-bearing isolated structure models with different fundamental periods, and then systematically investigates the effects of ground motion duration on lead core heating, hysteretic energy dissipation, and performance degradation of LRBs.

2 Ground motions duration and records selection

2.1 Ground motions duration

The main characteristics of earthquake ground motion can be described by three fundamental elements: maximum amplitude, frequency content, and duration. Currently, there is no unified definition of ground motion duration [26]. However, four definitions are commonly employed in research and seismic design:

(i) Significant Duration (D\({}_{s}\)). Using the acceleration records collected at the Fatih station during the 1999 Kocaeli earthquake in Turkey as an example [27], the method for determining D\({}_{s}\) is illustrated in Figure 1. The time intervals are taken between different percentages of the cumulative seismic energy relative to the total input seismic energy. Typically, the time interval corresponding to 5%-75% or 5%-95% of the cumulative energy is selected as the significant duration. This cumulative energy can be obtained by integrating the squares of acceleration, velocity, and displacement. The Arias Intensity (I\({}_{A}\)) is used to represent the cumulative energy released by ground motion, and its expression is: \[\label{GrindEQ__1_} I_{{\rm A}} =\frac{\pi }{2{\rm g}} \int _{0}^{t_{\max } }a(t)^{2} dt , \tag{1}\] where a(t) is acceleration history, t\({}_{max}\) is the total duration of the acceleration history, and g is the acceleration due to gravity.

(ii) Bracketed Duration (D\({}_{b}\)). This metric, which considers the amplitude of ground motion to measure duration, is defined as the length of the time interval between the first and last exceedance of a specified absolute acceleration threshold.

(iii) Uniform Duration (D\({}_{u}\)). Defined as the sum of the times when the absolute value of the ground motions acceleration reaches or exceeds the threshold value, which is not a continuous time range compared to the bracketed duration.

(iv) Effective Duration (D\({}_{e}\)). Similar to significant duration, effective duration is defined based on the time instants at which the cumulative energy of the ground motion acceleration reaches specified bounds. For effective duration, these bounds are fixed and are typically selected according to the objectives of the study.

2.2 Ground motions records selection

Typically, shallow seismic events have shorter duration characteristics, while subduction zone seismic events have longer durations characteristics [28]. According to the different durations characteristics of seismic events, ground motions can be classified into long- and short-duration ground motions. Current research does not agree on the thresholds for the delineation of long- and short-duration ground motions records, which should be chosen to be sufficiently long to result in a significant non-linear response of the structure, but at the same time it should be noted that too long a threshold will result in too few ground motion records to choose from. Therefore, 25s is used as the threshold for delineating long- and short-duration ground motions [29]. Since the magnitude of ground motion duration varies with the duration index, the robustness of the ground motions duration index needs to be considered. Among the four types of ground motion duration indicators mentioned above, the significant duration does not vary with the amplitude of the ground motion and shows no obvious correlation with peak ground acceleration (PGA), peak ground velocity (PGV), or the spectral acceleration corresponding to the fundamental period of the structure, S\({}_{a}\)(T\(_1\)). It exhibits good robustness, and the significant duration D\({}_{s}\)\({}_{5-75}\)\({}_{\%}\) has been widely applied in practical research [30]. Therefore, D\({}_{s}\)\({}_{5-75}\)\({}_{\%}\) is selected in this study as the indicator for distinguishing between long and short ground motion durations. Ultimately, two sets of ground motion records are chosen, one representing long-duration motions and the other representing short-duration motions, with 40 records in each set.

In addition, when analyzing the effect of duration, it is also necessary to separate the duration parameters from other ground motions parameters to avoid the ground motions amplitude and frequency content characteristics from interfering with the structural damage analysis results. Therefore, spectral matching of the two sets of ground motion records was performed to ensure that each long-duration ground motions record had a short-duration ground motions record matching its spectral pattern and frequency. The acceleration response spectra of the two sets of records are shown in Figure 2.

3 Selection of bearing and analytical model

3.1 LRB effect of lead core heating and model

LRBs consist of alternating layers of rubber and steel plates bonded together, featuring a central lead core. Their mechanical behavior exhibits typical bilinear characteristics, defined by the characteristic strength Q\({}_{d}\) and the post-yield stiffness K\({}_{B2}\). The characteristic strength depends primarily on the yield stress and diameter of the lead core, while the post-yield stiffness is determined mainly by the shear modulus of the rubber and the total thickness of the rubber layers. The bilinear mechanical model of an LRB is illustrated in Figure 3.

In engineering, most of the above mechanical model parameters depend on the bearing manufacturer and experimental testing, and it is generally assumed that their mechanical properties remain unchanged under seismic action. In fact, LRB will occur horizontal deformation under the action of the earthquake, the lead core yields when the displacement is greater than D\({}_{By}\), thus dissipating the seismic energy, while in the process of plastic deformation of mechanical energy will be converted into heat, the release of heat along the vertical and radial respectively, to the upper and lower sealing plate and the middle of each layer of the steel plate, bearing temperature increases at the same time as the lead core yielding force will be gradually decreased, that is, the temperature effect of the lead core.

Kalpakidis et al. proposed an analytical model that considers the strength degradation caused by heat generation of the LRB during reciprocal deformation [9], which takes into account the changes in the characteristic strength of the LRB due to the instantaneous temperature of the lead core, Figure 3 illustrates the establishment process of the degradation model.

Kumar et al. developed the LeadRubberX element that incorporates the degradation effect due to lead core heating, and compared the seismic response analysis results of the degradation model of the LeadRubberX element with the experimental results [14], demonstrating that the analytical model is accurate and effective. In this paper, the LeadRubberX bearing element is used to establish the bearing model considering the heat generation of the lead core.

3.2 Single-bearing isolated structures model and parameters

In order to effectively evaluate the seismic performance of the isolated bridge, Kunde et al. modeled the isolated bridge as a single-degree-of-freedom isolated structure (considering the bridge pier and superstructure as rigid), which can effectively obtain the seismic response of the isolation bearings [31]. Dicleli et al. and Ozdemir et al. also used a similar modeling approach to analyze the isolated bridge [32, 33]. In this paper, the structural form is simplified to a single-bearing isolation structure model composed of the superstructure and the LRB (Figure 4) by assuming that the bridge pier is rigid in order to effectively track the seismic response of the LRB.

In order to cover as much as possible, the commonly used bearing models in isolated bridges, 22 types of circular LRBs of all models in Chinese standard are selected. For lead rubber isolation bearing, the bearing design compressive stress should be in accordance with the provisions of Table 1, and at the same time, each type of bearing has its own vertical bearing capacity limit, and the two parameters can determine the upper and lower limits of each kind of bearing vertical pressure W. Post-yield period(T\({}_{B2}\)) can effectively reflect the mechanical characteristics of the bearing and the relationship between the weight of the superstructure, so take T\({}_{B2}\) as the main parameter for the selection of LRB. Each type of bearing T\({}_{B2}\) upper limit (T\({}_{B2,max}\)), lower limit (T\({}_{B2,min}\)) by the range of vertical pressure corresponds to determine, in order to make the distribution of bearing T\({}_{B2}\) balanced, while selecting the average value of the upper and lower limits of the T\({}_{B2}\) [T\({}_{B2,mid}\) = (T\({}_{B2,max}\) + T\({}_{B2,min}\))/2], each type of bearing corresponds to three kinds of post-yield period. Determine the superstructure by the mass corresponding to bearing post-yield period, and the single-bearing isolation structural model with different periods is established. The values of T\({}_{B2}\) for the single-bearing isolation structure model were chosen to range from 1.07s to 3.90s (Table 2). The design maximum compressive stress is the compressive stress value of the overlap area between the upper and lower steel plates when the shear strain is 0.7. S\({}_{1}\) is the first shape factor (7\(\mathrm{\le}\)S1\(\mathrm{\le}\)13), which represents the ratio of the effective plane area of a single-layer rubber layer to the side surface area of the bearing.

Table 1 Limit value of bearing design compressive stress
Project Limit value of design compressive stress (MPa)
Design maximum
compressive stress
S\(_1\){<}\(\) 8
8\(\mathrm{\le}\)S\(_1\){<}\(\) S\(_1\)
S\(_1\)\({\ge}\) 12
Design minimum compressive stress \({\ge}\)1.5
Table 2 Selected bearings and corresponding mechanical parameters
Number Model F\(_By\) (kN) K\(_B1\) (kN/m) K\(_B2\) (kN/m) Q\(_d\) (kN) T\({}_{B2}\)(s)
T\(_B2,min\) T\(_B2,mid\) T\(_B2,max\)
1 Y4Q420 61 4600 700 51.72 1.07 1.65 2.23
2 Y4Q470 81 5200 800 68.54 1.12 1.73 2.33
3 Y4Q520 96 6500 1000 81.23 1.11 1.80 2.50
4 Y4Q570 113 8100 1200 96.26 1.11 1.84 2.56
5 Y4Q620 142 9800 1500 120.27 1.08 1.89 2.69
6 Y4Q670 162 8600 1300 137.51 1.25 2.02 2.79
7 Y4Q720 193 9200 1400 163.63 1.30 2.13 2.95
8 Y4Q770 216 11100 1700 182.92 1.26 2.18 3.10
9 Y4Q820 241 13500 2100 203.51 1.21 2.09 2.97
10 Y4Q870 283 14200 2200 239.15 1.25 2.18 3.12
11 Y4Q920 323 14900 2300 273.14 1.29 2.27 3.24
12 Y4Q970 352 18200 2800 297.85 1.24 2.20 3.15
13 Y4Q1020 384 15100 2300 325.51 1.44 2.39 3.35
14 Y4Q1070 417 18000 2800 352.13 1.37 2.38 3.39
15 Y4Q1120 486 14700 2300 409.96 1.58 2.52 3.47
16 Y4Q1170 523 17200 2700 440.90 1.52 2.56 3.60
17 Y4Q1220 561 22400 3500 473.34 1.40 2.53 3.67
18 Y4Q1270 600 20600 3200 506.80 1.52 2.63 3.74
19 Y4Q1320 640 21600 3300 542.22 1.56 2.60 3.65
20 Y4Q1370 709 25500 3900 600.56 1.49 2.61 3.73
21 Y4Q1420 771 26300 4100 650.81 1.50 2.69 3.87
22 Y4Q1470 817 26600 4100 691.07 1.55 2.73 3.90

4 Effects of ground motions duration on LRB isolated structures

4.1 Seismic responses under the long- and short-duration ground motions

In order to comprehensively investigate the effect of ground motion duration on the seismic response of LRB isolation structures, the characteristic strength reduction rate, lead core temperature increment, shear strain, and energy dissipation of LRB isolation structures with different T\({}_{B2}\) under long- and short-duration ground motions are compared. In order to characterize the effects of long- and short-duration ground motions on LRB deformation and heating, the temperature increment ratio, i.e., the ratio of the temperature increment of the lead core inside the LRB isolation structure under long-duration ground motions to that under short-duration ground motions, is defined to measure the difference in temperature increment between long- and short-duration ground motions, and similar ratios are adopted for the analysis and comparison of the characteristic strength reduction rates, peak shear strains, and energy dissipation.

4.1.1 Lead core temperature and characteristic strength

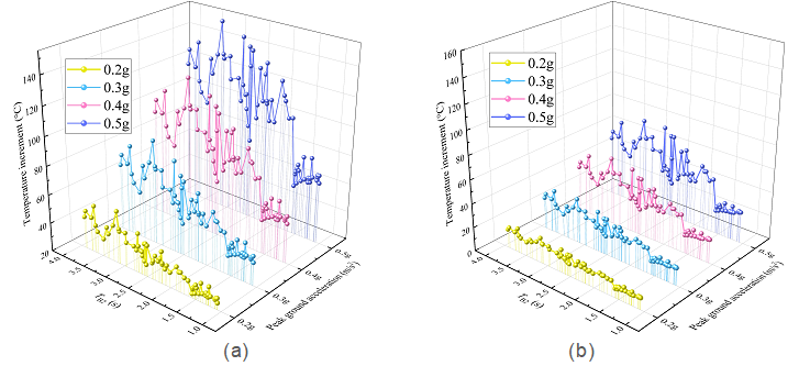
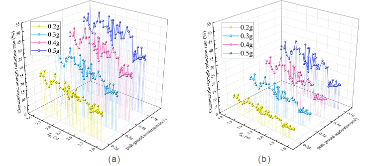
Figures 5 and 6 compare the variation in the mean values of lead core temperature increment and characteristic strength reduction rate of LRB isolation structures under the long- and short-duration ground motions with T\({}_{B2}\), respectively. It can be seen that the results of lead core temperature increment and characteristic strength reduction rate under the long-duration ground motions are larger in the range of T\({}_{B2,max}\) than in the range of T\({}_{B2,min}\). This is due to the fact that in the T\({}_{B2,min}\) range, the stiffness of the LRB isolation structure itself is larger, so that it is mostly in an un-yielded state in an earthquake, max range has a smaller stiffness and is more prone to reciprocating shear deformation, with the result that the lead core produces more plastic deformation and heat accumulation. At the same time, the increase in lead core temperature also leads to a decrease in the characteristic strength of LRB isolation structure, the lead core temperature increment and characteristic strength reduction rate of LRB isolation structure are extremely sensitive to the intensity of ground motions, with the peak acceleration of ground motions from low to high, the lead core temperature increment and the corresponding phenomenon of characteristic strength reduction are also more obvious, and the impact of long-duration ground motions on the temperature of the lead core is greater, which is manifested in the temperature increment and characteristic strength reduction rate is much larger than that of short-duration ground motions.

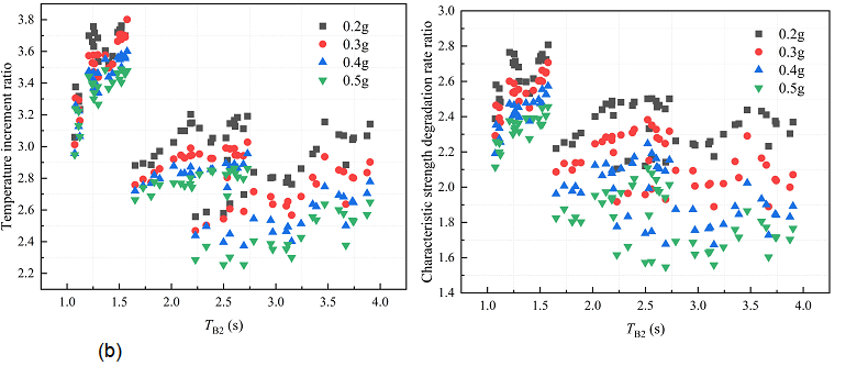
Figure 7 compares the variation of the lead core temperature increment ratio and the characteristic strength degradation rate ratio of the LRB isolated structure under long-duration and short-duration ground motions with respect to T\({}_{B2}\). It can be seen that the temperature increment under long-duration is 2.25 to 3.8 times of that under short-duration, while the characteristic strength reduction rate is 1.55 to 2.8 times. And in the period range of the selected bearing, the ratio of lead core temperature increment and the ratio of characteristic strength reduction rate under ground motions at long-duration time do not have a linear correspondence with the post-yield period, and they show distinct partitions in the range of T\({}_{B2,max}\), T\({}_{B2,min}\) and T\({}_{B2,mid}\), which is mainly related to the different rubber thicknesses of different types of bearings. With the increase of T\({}_{B2}\), the distribution of temperature increment ratio and characteristic strength reduction rate ratio under different ground motions intensities gradually becomes decentralized from centralized, which indicates that the effect of ground motions intensity on the temperature increment and characteristic strength reduction rate under long- and short-duration ground motions is small in the range of T\({}_{B2}\),min, and with the increase of T\({}_{B2}\), the effect of ground motions intensity on the temperature increment and characteristic strength reduction rate under long- and short-duration ground motions becomes more and more significant.

4.1.2 Peak shear strain and hysteretic energy dissipation

Existing studies have shown that the lead core heating makes the maximum shear deformation demand of the bearing increase significantly [34], and Shirazi found that the energy dissipated per cycle (EDC) of the bearing is the main factor leading to the increase of the bearing temperature through a large number of experiments [35], and the heat mainly originates from the hysteretic deformation of the lead core. The variation of peak shear strain and average value of hysteretic energy dissipation with T\({}_{B2}\) for LRB isolated structures under long- and short-duration ground motions is shown in Figures 8 and 9, respectively. From Figure 8, it can be seen that in the range of T\({}_{B2,min}\), the peak shear strain of the bearing when the lead core heating is considered does not differ much from the result without consideration, and the maximum difference of peak shear strain is 9.43%. As the cycle increases, the amplification of peak shear strain by lead core heating becomes more and more obvious, and the maximum difference in peak shear strain is 112%. The maximum shear deformation demand of the LRB isolation structure considering the lead core deformation heat generation under long-duration ground motions increases significantly. As can be seen in Figure 9, the effect of lead core heating on the energy dissipation of the LRB is small. In the range of T\({}_{B2,min}\), due to the large stiffness of the isolation structure, the bearing has not yielded yet, and the consideration of lead core heating or not has little effect on the energy dissipation, whereas in the range of T\({}_{B2,max}\), the gap in energy dissipation begins to appear, and the gap widens with the increase of T\({}_{B2}\). This is due to the fact that the long-duration ground motions makes the LRB isolation structure experience more times of plastic hysteresis, and for seismic isolation structures considering degradation of LRB performance due to lead core heating, its strength and stiffness degradation is more serious, which results in a larger cumulative damage.

4.2 Seismic responses under the different duration indexes ground motions

For a specific ground motion record, although the total duration is fixed, the structural seismic response can vary significantly due to the different ways of defining duration indexes [30]. To investigate the effect of different duration indexes on the seismic response of the structure, the temperature increment, characteristic strength degradation rate, peak shear strain, and energy dissipation of the lead core were analyzed for single-bearing isolated structures under different T\({}_{B2}\) values and duration indexes.

4.2.1 Lead core temperature and characteristic strength

Figures 10 and 11 respectively show the variation in the average values of lead core temperature increment and characteristic strength degradation rate in the LRB isolated structure with respect to the variation of T\({}_{B2}\) under different duration indexes. It can be seen that the lead core temperature increment and characteristic strength reduction rates under D\({}_{s}\)\({}_{5-95\%}\) and D\({}_{b}\)\({}_{0.1g}\) in the long-duration ground motion record group are closer to each other and also closer to the values under the total duration, in contrast, the lead core temperature increment and the characteristic strength reduction rate have a large gap between D\({}_{s}\)\({}_{5-95\%}\) and D\({}_{b}\)\({}_{0.1g}\) in the short-duration records, where D\({}_{s}\)\({}_{5-95\%}\) is closer to the total duration. In addition, the lead core temperature increment and characteristic strength reduction rate under D\({}_{s}\)\({}_{5-75\%}\) and D\({}_{b}\)\({}_{0.2g}\) are closer to each other in both long- and short-duration ground motion records, and both of them have the largest gap with the lead core temperature increment and characteristic strength reduction rate under total duration. This indicates that different duration indexes can significantly affect the seismic response of LRB isolation structures, and the selection of D\({}_{s}\)\({}_{5-95\%}\) duration index is closer to the seismic response of LRB isolation structures under the total duration. As the T\({}_{B2}\) increases, the quantitative differences of the lead core temperature increment and the characteristic strength reduction rate of LRB isolation structures under different duration indexes for long- and short-duration ground motion become more and more significant. This indicates that LRB isolation structures in the range of T\({}_{B2,max}\) are more sensitive to the selection of the duration index.

The bracketed duration shows sensitivity to thresholds. For example, the lead core temperature increment under D\({}_{b}\)\({}_{0.2g}\) is much smaller than that under the total duration, while D\({}_{b}\)\({}_{0.1g}\) is closer to the total duration, This behavior occurs because, with an increase in the threshold value, the definition of bracketed duration leads to a reduction in its duration. In other words, the closer the selected threshold is to the PGA, the smaller the bracketed duration becomes. When the threshold value exceeds the PGA, the bracketed duration becomes 0, which means that the ground motion has not yet reached the set strong earthquake duration. Unlike the bracketed duration, the significant duration value is not affected by the size of the PGA, but is bounded by its energy accumulation rate. The two important durations, D\({}_{s}\)\({}_{5-95\%}\) and D\({}_{s}\)\({}_{5-75\%}\), defined by relative thresholds, are generally more stable, but there is a larger difference in energy accumulation during their definition. D\({}_{s}\)\({}_{5-75\%}\) is defined as the stage with the fastest growth rate of energy accumulation, and thus its duration value is slightly smaller than that of D\({}_{s}\)\({}_{5-95\%}\). The LRB heat generation and deformation is a kind of energy accumulation process, and the size of the heat generation is obviously related to the cumulative growth rate of seismic energy, the cumulative amount of heat generation in the time period defined by D\({}_{s}\)\({}_{5-95\%}\) is closest to the result under the total duration compared to D\({}_{s}\)\({}_{5-75\%}\).

In order to compare the effects of different duration indexes on the temperature increment and characteristic strength of the lead core in LRB isolation structure under long- and short-duration ground motions, the variation of the temperature increment ratio and characteristic strength degradation rate ratio of the lead core of LRB isolation structure under different duration indexes with the T\({}_{B2}\) are given in Figure 12, and it can be seen that the temperature increment ratio and characteristic strength ratio are the smallest under the total duration, and the result is more centralized under different T\({}_{B2}\), and the ratio is roughly in the range of 2 to 3 times. indicating that the temperature increment and characteristic strength of LRB under the long-duration ground motions are 2 to 3 times of those under the short-duration ground motions. the temperature increment ratio and characteristic strength ratio under D\({}_{s}\)\({}_{5-95\%}\) are the closest to the results under the total duration, whereas the deviation of the results is larger under D\({}_{b}\)\({}_{0.2g}\), which can’t reflect the effect of the duration on the earthquake response of the isolation structure of the LRB, and it is suggested to use D\({}_{s}\)\({}_{5-95\%}\) as the index of duration.

4.2.2 Peak shear strain and hysteretic energy dissipation

Figures 13 and 14 respectively show the variation in the average values of peak shear strain and energy dissipation in the LRB isolated structure with respect to the variation of T\({}_{B2}\) under different duration indexes. From Figure 13, it can be seen that D\({}_{s}\)\({}_{5-95\%}\) and D\({}_{b}\)\({}_{0.1g}\) are closest to the shear strains under the total duration, i.e., defining the intercepted ground motion records in terms of D\({}_{s}\)\({}_{5-95\%}\) or D\({}_{b}\)\({}_{0.1g}\) reduces the amount of dynamic calculations while allowing more accurate calculation of the shear strains of the LRB isolation structure for different periods. It can also be seen that, whether it is long or short duration, in the range of T\({}_{B2,min}\), each duration index is almost close to the calculated shear strain under the total duration, and the trend of change is also relatively close, that is, for the short period LRB isolation structure, the influence of each duration index on the maximum displacement demand is not obvious, and the influence of the difference between the duration indexes can be disregarded in the range of T\({}_{B2,min}\). For LRB isolation structures in the range of T\({}_{B2,max}\), the effect of duration is significant, so it is necessary to select a suitable duration index to measure the maximum displacement demand of LRB isolation structures.

As can be seen from Figure 14, the hysteretic energy dissipation under each duration index is approximately equal in the range of T\({}_{B2,min}\), while the hysteretic energy dissipation of LRB seismic isolation structures under long- and short-duration ground motions increases gradually with the increase of the post-yield period, and the difference between the hysteretic energy dissipation under long- and short-durations becomes bigger gradually, this is due to the fact that the longer duration will make the LRB isolation structure undergo more plastic hysteresis, which will inevitably cause the structure to have greater strength and stiffness degradation, thus causing larger cumulative damage for LRB isolation structures that suffer from the degradation effect. Under the ground motions with D\({}_{s}\)\({}_{5-95\%}\) and D\({}_{b}\)\({}_{0.1g}\) index, the hysteretic energy dissipation of LRB isolation structures is almost the same, and both of them are the closest to the total duration. The hysteretic energy dissipation of LRB isolation structure under D\({}_{s}\)\({}_{5-75\%}\) and D\({}_{b}\)\({}_{0.2g}\) in the long- and short-duration records is also almost the same, but there is a significant difference with the hysteretic energy dissipation under the total duration, i.e., the selection of D\({}_{s}\)\({}_{5-75\%}\) and D\({}_{b}\)\({}_{0.2g}\) indexes will seriously underestimate the hysteretic energy dissipation of LRB isolation structure.

The variation of peak shear strain ratio and energy dissipation ratio of LRB isolation structure with T\({}_{B2}\) under different duration indexes is given in Figure 15. From Figure 15(a), it can be seen that the quantitative difference in the peak shear strain of the LRB isolation structure under long- and short-duration ground motions gradually increases with the increase of the post-yield period. However, the peak shear strain ratio is small compared to the ratio of the temperature increment of the lead core and the rate of reduction of the characteristic strength under the long- and short-duration ground motions and the maximum ratio of about 3.5. In addition, except for D\({}_{b}\)\({}_{0.2g}\), the peak shear strain ratios are approximately the same, and the ratios are between 1 and 1.5 in the whole period range, which indicates that for the LRB peak shear strain, the difference between long- and short-durations is small, and the error due to the way of defining different duration indexes can be approximately ignored when taking the significant duration or D\({}_{b}\)\({}_{0.1g}\). From Figure 15(b), it can be seen that the hysteretic energy dissipation ratio under D\({}_{s}\)\({}_{5-95\%}\) is closer to the result under total duration, while the difference between the hysteretic energy dissipation ratio under D\({}_{b}\)\({}_{0.2g}\) and that under total duration is the largest. This indicates that for LRB hysteretic energy dissipation, taking the significant duration or D\({}_{b}\)\({}_{0.2g}\) will bring larger errors, and it is recommended to choose D\({}_{s}\)\({}_{5-95\%}\) to reflect the effect of duration on LRB hysteretic energy dissipation.

5 Conclusions

In order to reveal the effect of ground motion duration on the deformation heating and seismic response of the lead core of LRB isolated bridges. In this paper, with 25s as the threshold value, 40 ground motion records each with long- and short-duration characteristics are selected, and 66 single-bearing isolation structural models with different periods are established. Based on the consideration of the degradation of the mechanical properties of the LRBs, dynamic time history analysis is carried out, and the influences of the long- and short-duration as well as different duration indexes on the lead core temperature increment, characteristic strength, shear stress, and hysteretic energy dissipation of the LRBs are investigated, and the main conclusions are as follows:

(1) Ground motions has a significant effect on the deformation and heat generation of LRB lead core and its performance degradation, and the temperature increment and characteristic strength degradation rate of LRB lead core are significantly larger in long-duration than in short-duration, the temperature increment in long-duration is 2.25 to 3.8 times of short-duration, and the characteristic strength degradation rate is 1.55 to 2.8 times.

(2) Within the lower limit range of the post-yield period, the peak shear strain of the bearing when considering the heating of the lead core does not differ much from the result without consideration, and the maximum difference of peak shear strain is 9.43%. As the period increases, the amplification of peak shear strain by lead core heating becomes more and more obvious, and the maximum difference in peak shear strain is 112%. It can be seen that, without considering the lead core heating, the ground motions duration has little effect on the peak shear strain of the LRB isolated structure, while after considering the effect of lead core heating, the effect of ground motions duration on the maximum shear deformation demand of the LRB isolation structure is obviously increased.

(3) The energy dissipation of the LRB isolated structure increases with the increase in the post-yield period. In the lower limit range of the post-yield period, the isolation structure has higher stiffness, and the bearing has not yet yielded. The effect of considering the lead core heating on the energy dissipation is negligible and the value is relatively small. However, in the upper limit range of the post-yield period, a noticeable difference in energy dissipation begins to emerge, and as the post-yield period increases, this difference becomes more pronounced.

(4) In the long-duration seismic record group, the lead core temperature increment and characteristic strength degradation rate under significant duration D\({}_{s}\)\({}_{5-95}\)\({}_{\%}\) and bracketed duration D\({}_{b0.1g}\) are relatively similar, and also closely resemble the values under the total duration. However, in the short-duration record group, there is a significant difference in the lead core temperature increment and characteristic strength degradation rate under significant duration D\({}_{s}\)\({}_{5-95}\)\({}_{\%}\) and bracketed duration D\({}_{b0.1g}\), with significant duration D\({}_{s}\)\({}_{5-95}\)\({}_{\%}\) being closer to the total duration. Due to its definitional nature, bracketed duration exhibits sensitivity to the threshold. For example, under bracketed duration D\({}_{b0.2g}\), the lead core temperature increment is much smaller than that under the total duration, while under bracketed duration D\({}_{b}\)\({}_{0.1g}\), it is closer to the total duration.

Acknowledgments

Financial support from the National Natural Science Foundation of China and the Outstanding Young Scholars Fund of LUT is gratefully acknowledged.

Author Contributions

Yan Shi: Conceptualization, Methodology, Funding acquisition, Writing – review & editing. Xuexin Wang: Data curation, Writing – review & editing. Qianzhan Cheng: Formal Analysis, Investigation, Project administration. Zhao Cheng: Writing – original draft, Software, Validation, Visualization.

Funding

This work was supported by the National Natural Science Foundation of China (Grant numbers 52268075 and 52468071), and the Outstanding Young Scholars Fund of LUT (Grant number 04-062410). These supports are gratefully acknowledged.

Data Availability

Raw data supporting findings are available from the corresponding author upon request.

Conflict of interest

The authors declare no competing interests.

References

  1. Buckle, I. G., Constantinou, M., Dicleli, M., & Ghasemi, H. (2006). Seismic Isolation of Highway Bridges, Manual#: MCEER-06-SP07. Multidisciplinary Center for Earthquake Engineering Research.

  2. Turkington, D. H., Carr, A. J., Cooke, N., & Moss, P. J. (1989). Seismic design of bridges on lead-rubber bearings. Journal of Structural Engineering, 115(12), 3000-3016.

  3. Lee, G. C., Kitane, Y., & Buckle, I. G. (2001). Literature review of the observed performance of seismically isolated bridges. Research progress and Accomplishments: Multidisciplinary center for Earthquake Engineering Research, 51-62.

  4. Bessason, B., & Haflidason, E. (2004). Recorded and numerical strong motion response of a base-isolated bridge. Earthquake Spectra, 20(2), 309-332.

  5. Jónsson, M. H., Bessason, B., & Haflidason, E. (2010). Earthquake response of a base-isolated bridge subjected to strong near-fault ground motion. Soil Dynamics and Earthquake Engineering, 30(6), 447-455.

  6. Constantinou, M. C., Whittaker, A. S., Kalpakidis, Y., Fenz, D. M., & Warn, G. P. (2007). Performance of seismic isolation hardware under service and seismic loading.

  7. Constantinou, M. C., Tsopelas, P., Kasalanati, A., & Wolff, E. D. (1999). Property modification factors for seismic isolation bearings. Buffalo, NY: Multidisciplinary Center for Earthquake Engineering Research.

  8. Kalpakidis, I. V., & Constantinou, M. C. (2009). Effects of heating on the behavior of lead-rubber bearings. I: Theory. Journal of Structural Engineering, 135(12), 1440-1449.

  9. Kalpakidis, I. V., Constantinou, M. C., & Whittaker, A. S. (2010). Modeling strength degradation in lead–rubber bearings under earthquake shaking. Earthquake Engineering & Structural Dynamics, 39(13), 1533-1549.

  10. Arguc, S., Avsar, O., & Ozdemir, G. (2017). Effects of lead core heating on the superstructure response of isolated buildings. Journal of Structural Engineering, 143(10), 04017145.

  11. Öztürk, H. (2022). Effects of lead core heating on the response of isolated-base and fixed-base regular and irregular reinforced concrete structures. Buildings, 12(8), 1087.

  12. Ozdemir, G., Avsar, O., & Bayhan, B. (2011). Change in response of bridges isolated with LRBs due to lead core heating. Soil Dynamics and Earthquake Engineering, 31(7), 921-929.

  13. Wang, H., Zheng, W. Z., Li, J., & Gao, Y. Q. (2019). Effects of temperature and lead core heating on response of seismically isolated bridges under near-fault excitations. Advances in Structural Engineering, 22(14), 2966-2981.

  14. Kumar, M., Whittaker, A. S., & Constantinou, M. C. (2014). An advanced numerical model of elastomeric seismic isolation bearings. Earthquake Engineering & Structural Dynamics, 43(13), 1955-1974.

  15. Kumar, M., Whittaker, A. S., & Constantinou, M. C. (2015). Response of base-isolated nuclear structures to extreme earthquake shaking. Nuclear Engineering and Design, 295, 860-874.

  16. Ozdemir, G. (2014). Lead core heating in lead rubber bearings subjected to bidirectional ground motion excitations in various soil types. Earthquake Engineering & Structural Dynamics, 43(2), 267-285.

  17. Özdemir, G. (2015). Formulations of equivalent linearization of lead-rubber bearings for incorporating the effect of lead core heating. Earthquake Spectra, 31(1), 317-337.

  18. Dicleli, M. (2006). Performance of seismic‐isolated bridges in relation to near‐fault ground‐motion and isolator characteristics. Earthquake Spectra, 22(4), 887-907.

  19. Dicleli, M. (2007). Supplemental elastic stiffness to reduce isolator displacements for seismic-isolated bridges in near-fault zones. Engineering Structures, 29(5), 763-775.

  20. Xue, B., Lu, W., Yang, Y., & Ren, X. (2024). Influence of ground motion characteristics on the heating effect of lead‐rubber bearings in base‐isolated structures. The Structural Design of Tall and Special Buildings, 33(15), e2159.

  21. Li, T., Yang, Y., Dai, K., Ge, Q., & Wang, J. (2022). Influence of ground motion duration on seismic performance of RC frame isolated by high damping rubber bearings. Engineering Structures, 262, 114398.

  22. Hwang, S. H., Mangalathu, S., & Jeon, J. S. (2021). Quantifying the effects of long‐duration earthquake ground motions on the financial losses of steel moment resisting frame buildings of varying design risk category. Earthquake Engineering & Structural Dynamics, 50(5), 1451-1468.

  23. Hassan, A. L., & Billah, A. M. (2020). Influence of ground motion duration and isolation bearings on the seismic response of base-isolated bridges. Engineering Structures, 222, 111129.

  24. Todorov, B., & Billah, A. M. (2021, June). Seismic fragility and damage assessment of reinforced concrete bridge pier under long-duration, near-fault, and far-field ground motions. In Structures (Vol. 31, pp. 671-685). Elsevier.

  25. Lopez, A., Dusicka, P., & Bazaez, R. (2020). Performance of seismically substandard bridge reinforced concrete columns subjected to subduction and crustal earthquakes. Engineering Structures, 207, 110216.

  26. Bommer, J. J., & Martínez-Pereira, A. (2000, January). Strong-motion parameters: definition, usefulness and predictability. In Proc. of the 12th World Conference on Earthquake Engineering, Auckland, New Zealand.

  27. Bommer, J. J., & Martínez-Pereira, A. (1999). The effective duration of earthquake strong motion. Journal of Earthquake Engineering, 3(02), 127-172.

  28. Kiani, J., Camp, C., & Pezeshk, S. (2018). Role of conditioning intensity measure in the influence of ground motion duration on the structural response. Soil Dynamics and Earthquake Engineering, 104, 408-417.

  29. Chandramohan, R., Baker, J. W., & Deierlein, G. G. (2016). Quantifying the influence of ground motion duration on structural collapse capacity using spectrally equivalent records. Earthquake Spectra, 32(2), 927-950.

  30. Foschaar, J. C., Baker, J. W., & Deierlein, G. G. (2012, September). Preliminary assessment of ground motion duration effects on structural collapse. In 15th World Conference on Earthquake Engineering. Lisbon, Portugal. Portugal: WCEE.

  31. Kunde, M. C., & Jangid, R. S. (2003). Seismic behavior of isolated bridges: A-state-of-the-art review. Electronic Journal of Structural Engineering, 3, 140-170.

  32. Dicleli, M., & Buddaram, S. (2007). Equivalent linear analysis of seismic-isolated bridges subjected to near-fault ground motions with forward rupture directivity effect. Engineering Structures, 29(1), 21-32.

  33. Ozdemir, G., & Dicleli, M. (2012). Effect of lead core heating on the seismic performance of bridges isolated with LRB in near‐fault zones. Earthquake Engineering & Structural Dynamics, 41(14), 1989-2007.

  34. Chuan, Q., Wenguang, L., & Wenfu, H. (2017). Comparative analysis of lead heating effects on lead rubber bearing behaviours. Journal of Vibration and Shock, 36(10), 182-189.

  35. Shirazi, A. (2010). Thermal Degradation of the Performance of Elastomeric Bearings for Seismic Isolation. University of California, San Diego.

Related Articles

Mohamed A. Tohamy1, Mostafa M. ElSayed1, Adel. Y. Akl1
1Department of Structural Engineering, Faculty of Engineering, Cairo University, 12613 Giza, Egypt
Mehmet Yigitbas1, Ernesto Grande1, Maura Imbimbo1
1Department of Civil and Mechanical Engineering, University of Cassino and Southern Lazio, 03043, Cassino FR, Italy
Alper Demirci1, Semanur Kenar2
1Faculty of Engineering, Çanakkale Onsekiz Mart University, 17100, Çanakkale, Türkiye
2School of Graduate Studies, Çanakkale Onsekiz Mart University, 17100, Çanakkale, Türkiye
Guoxi Fan1, Boyuan Guo1, Peng Hu2, Shirui Sun1, Haozhe Zhang1, Lu Yu1, Xiaocheng Tang3
1College of Engineering, Ocean University of China, 266404 Qingdao, Shandong, China
2Shanghai Baoye Group Co., Ltd., 200941 Shanghai, China
3School of Civil Engineering, Jilin Jianzhu University, 130118 Changchun, Jilin, China
Yunus Demirtas1,2, Ozgur Avsar2
1Civil Engineering Department, Usak University, 64200 Usak, Türkiye
2Civil Engineering Department, Eskisehir Technical University, 26555 Eskisehir, Türkiye